您好 欢迎来到超硬材料网  | 免费注册
远发信息:磨料磨具行业的一站式媒体平台磨料磨具行业的一站式媒体平台
手机资讯手机资讯
官方微信官方微信
郑州华晶金刚石股份有限公司

河北工业大学:高功率金刚石拉曼激光器热效应研究新进展

关键词 金刚石拉曼激光器|2025-09-30 11:43:30|来源 DT半导体
摘要 近年来,高功率激光器在材料加工、空间通信、航空航天及定向能系统等领域的重要性日益提升。如何实现高效率、稳定运行的激光输出,成为科研与产业共同关注的问题。金刚石凭借其超高热导率、宽光...

       近年来,高功率激光器在材料加工、空间通信、航空航天及定向能系统等领域的重要性日益提升。如何实现高效率、稳定运行的激光输出,成为科研与产业共同关注的问题。金刚石凭借其超高热导率、宽光学透明窗口以及优异的非线性光学特性,被认为是构建高功率拉曼激光器的理想材料。

       但由于合成金刚石晶体尺寸有限,实际应用中需要高功率密度泵浦,导致晶体内部出现显著的温升和热应力分布。这会引发热透镜、双折射、光束畸变和谱线展宽等效应,最终影响腔体稳定性和输出性能。因此,深入理解金刚石拉曼激光器中的热演化机制,成为确保高功率稳定运行的关键。

       近日,河北工业大学白振旭团队,在国际期刊 Diamond & Related Materials 发表了题为 《Coupled thermal dynamics and performance degradation in high-power continuous-wave diamond Raman lasers》 的研究论文。系统揭示了高功率连续波金刚石拉曼激光器的热效应与性能退化机制。

image.png


       研究显示,当泵浦功率超过阈值后,金刚石晶体表面温度会迅速升高,并在泵浦中心形成明显的热点分布。随着功率继续提升,激光输出并非单调增加,而是出现“先升后降”的非线性趋势。其根本原因在于热透镜效应引发的腔模失配,导致输出效率下降和光束质量恶化。

       团队通过红外热成像和理论建模相结合,首次定量建立了温度—热透镜—输出性能之间的耦合关系。研究结果表明,温度并不是一个独立参数,而是与泵浦功率和腔模稳定性深度关联。这一认识为高功率激光系统的散热设计与稳定运行提供了新的理论与实验依据。

       该研究不仅为提升金刚石拉曼激光器的性能奠定基础,也对未来卫星通信、先进制造、空间探索以及定向能系统中的高功率激光应用具有重要参考价值。下一步,未来,团队计划探索更先进的散热手段(如微通道冷却、低温制冷)以及热透镜补偿技术(如自适应光学、动态腔控),以推动更高功率、更稳定的金刚石拉曼激光器发展。

       图文导读

image.png

图1. 外腔金刚石拉曼激光器装置示意图。插图:振荡器照片,展示其散热结构。

image.png


图2. 金刚石拉曼激光器的功率曲线。

image.png

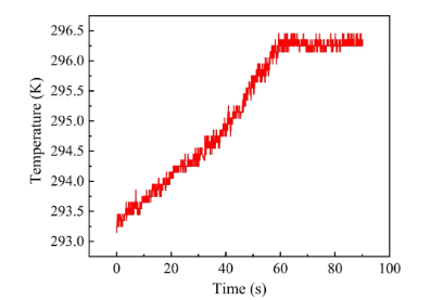
图3. 金刚石表面温度随时间变化曲线。

image.png

图4. 不同泵浦功率下金刚石表面温度上升特性实验结果。(a)金刚石表面温度与环境温度温差ΔT随泵浦功率变化曲线。(b)85W泵浦功率下金刚石表面温度分布图。

image.png

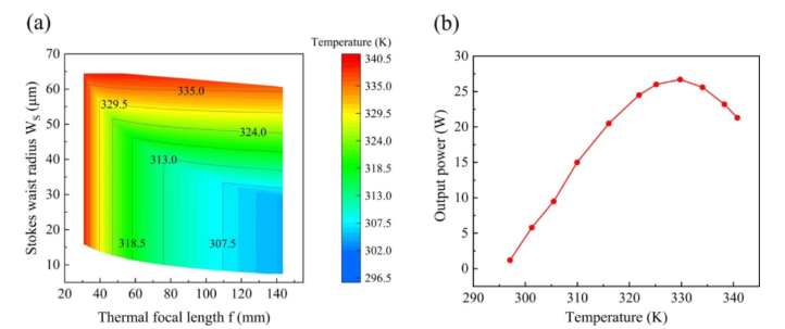
图5.展示了温度对金刚石拉曼激光器性能影响的模拟与实验分析结果。(a)金刚石表面温度、热透镜焦距与斯托克斯腰径之间的耦合关系。(b)实验测得的金刚石表面温度与斯托克斯输出功率的关系曲线。

 

① 凡本网注明"来源:超硬材料网"的所有作品,均为河南远发信息技术有限公司合法拥有版权或有权使用的作品,未经本网授权不得转载、摘编或利用其它方式使用上述作品。已经本网授权使用作品的,应在授权范围内使用,并注明"来源:超硬材料网"。违反上述声明者,本网将追究其相关法律责任。

② 凡本网注明"来源:XXX(非超硬材料网)"的作品,均转载自其它媒体,转载目的在于传递更多信息,并不代表本网赞同其观点和对其真实性负责。

③ 如因作品内容、版权和其它问题需要同本网联系的,请在30日内进行。

※ 联系电话:0371-67667020

柘城惠丰钻石科技股份有限公司
河南联合精密材料股份有限公司